Logarithm: Miscellaneous Exercise
Definition: Logarithm
Let $N$ and $b$ be positive real numbers, with $b \neq 1$. Then the logarithm of $N$ (with respect) to the base $b$ is the exponent by which $b$ must be raised to yield $N$, and is denoted by $\log _{b} N$
Rules of Logarithms
$\begin{array}{ll} \text{L}1. & N=b^{\log _{b} N}\\\\ \text{L}2. & x=\log _{b} b^{x}\\\\ \text{L}3. & \log _{b} b=1\\\\ \text{L}4. & \log _{b} 1=0\\\\ \text{L}5. & \log _{b}(M N)=\log _{b} M+\log _{b} N\\\\ \text{L}6. & \log _{b} N^{p}=p \log _{b} N\\\\ \text{L}7. & \log _{b}\left(\displaystyle\frac{M}{N}\right)=\log _{b} M-\log _{b} N\\\\ \text{L}8. & \log _{a} N=\displaystyle\frac{\log _{b} N}{\log _{b} N}\\\\ \text{L}9. & \log _{a} N=\displaystyle\frac{1}{\log _{N} a}\\\\ \text{L}10. & \log _{a^{p}} N=\displaystyle\frac{1}{p} \log _{a} N\\\\ \text{L}11. & a^{\log _{k} b}=b^{\log _{k} a} \end{array}$
Common Logarithm
The logarithm of $N$ to the base $10\left(\log _{10} N\right)$ is said to be a common logarithm, and is usually written as $\log N$ (omitting the base). where $n$ is called the characteristic and $\log a$ is called the mantissa of $\log N$.
If $\quad N=a \times 10^{n}$,
then $\quad \log N=\log \left(a \times 10^{n}\right)=\log 10^{n}+\log a=n+\log a$ where $n$ is called the characteristic and $\log a$ is called the mantissa of $\log N$.
Note that $n$ is an integer and $1 \leq a<10$.
Euler's Number
As a positive integer $n$ become very large, the value of $\left(1+\displaystyle\frac{1}{n}\right)^{n}$ approaches an irrational number, which is denoted by $e$.
Natural Logarithm
The logarithm of $N$ to the base $e$ is called a natural logarithm, and is denoted by $\ln N$.
- Write the following expressions in terms of $\log x$, $\log y$ and $\log z$.
- Prove the following statements.
- Given that $\log 2=x, \log 3=y$ and $\log 7=z$, express the following expressions in terms of $x, y$, and $z$.
- Solve the following logarithmic equations.
- Find the inverse of each of the following functions.
| (a) | $\log (x^{2} y)$ | Show Solution | |
|---|---|---|---|
| (b) | $\log \displaystyle\frac{x^{3} y^{2}}{z}$ | Show Solution | |
| (c) | $\log \displaystyle\frac{\sqrt{x} \sqrt[3]{y^{2}}}{z^{4}}$ | Show Solution | |
| (d) | $\log (x y z)$ | Show Solution | |
| (e) | $\log \left(\displaystyle\frac{x}{y z}\right)$ | Show Solution | |
| (f) | $\log \left(\displaystyle\frac{x}{y}\right)^{2}$ | Show Solution | |
| (g) | $\log \left(x y\right)^{\frac{1}{3}}$ | Show Solution | |
| (h) | $\log (x \sqrt{z})$ | Show Solution | |
| (i) | $\log \displaystyle\frac{\sqrt[3]{x}}{\sqrt[3]{y z}}$ | Show Solution | |
| (j) | $\log \sqrt[4]{\displaystyle\frac{x^{3} y^{2}}{z^{4}}}$ | Show Solution | |
| (k) | $\log \left(x \sqrt{\displaystyle\frac{\sqrt{x}}{z}}\right)$ | Show Solution | |
| (l) | $\log \sqrt{\displaystyle\frac{x y^{2}}{z^{8}}}$ | Show Solution |
| (a) | $\quad\log _{\sqrt{b}} x=2 \log _{b} x$ | Show Solution | |
|---|---|---|---|
| (b) | $\quad\log _{\frac{1}{\sqrt{b}}} \sqrt{x}=-\log _{b} x$ | Show Solution | |
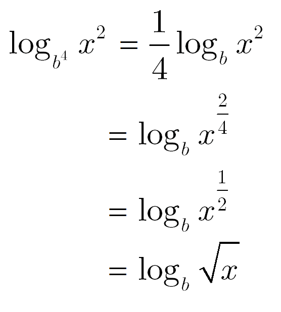
| (c) | $\quad\log _{b^{4}} x^{2}=\log _{b} \sqrt{x}$ | Show Solution |
| (a) | $\log 12$ | Show Solution | |
|---|---|---|---|
| (b) | $\log 200$ | Show Solution | |
| (c) | $\log \displaystyle\frac{14}{3}$ | Show Solution | |
| (d) | $\log 0.3$ | Show Solution | |
| (e) | $\log 1.5$ | Show Solution | |
| (f) | $\log 10.5$ | Show Solution | |
| (g) | $\log 15$ | Show Solution | |
| (h) | $\log \displaystyle\frac{6000}{7}$ | Show Solution |
| (a) | $\ln x=-3$ | Show Solution | |
|---|---|---|---|
| (b) | $\log (3 x-2)=2$ | Show Solution | |
| (c) | $2 \log x=\log 2+\log (3 x-4)$ | Show Solution | |
| (d) | $\log x+\log (x-1)=\log (4 x)$ | Show Solution | |
| (e) | $\log _{3}(x+25)-\log _{3}(x-1)=3$ | Show Solution | |
| (f) | $\log _{9}(x-5)+\log _{9}(x+3)=1$ | Show Solution | |
| (g) | $\log x+\log (x-3)=1$ | Show Solution | |
| (h) | $\log _{2}(x-2)+\log _{2}(x+1)=2$ | Show Solution |
(a) $\quad f(x)=\log _{2}(x-3)-5$
Show Solution
(b) $\quad f(x)=3 \log _{3}(x+3)+1$
Show Solution
(c) $\quad f(x)=-2 \log 2(x-1)+2$
Show Solution
(d) $\quad f(x)=-\ln (1-2 x)+1$
Show Solution
(e) $\quad f(x)=2^{x}-3$
Show Solution
(f) $\quad f(x)=2 \cdot 3^{3 x}-1$
Show Solution
(g) $\quad f(x)=-5 \cdot e^{-x}+2$
Show Solution
(h) $\quad f(x)=1-2 e^{-2 x}$
Show Solution

Post a Comment for "Logarithm: Miscellaneous Exercise"